
알리바바가 16일 차세대 인공지능(AI) 모델 '큐원(Qwen) 3.5-397B-A17B(큐원 3.5-플러스)'를 공개했다.
1조개 이상 매개변수를 가진 대형 모델 '큐원 3-맥스'와 유사한 성능을 유지하면서도 배포 비용을 최대 60% 절감한 것이 핵심이다. 성능과 비용 효율을 동시에 잡았다는 점을 전면에 내세웠다.
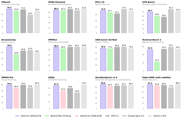
이번 모델은 '큐원 3.5' 세대의 첫 공개 모델이다. 복잡한 작업을 스스로 수행하는 에이전트형 AI 구현을 목표로 설계됐다. 회사 측에 따르면 다양한 과제 평가에서 최첨단 모델과 동등한 수준의 성능을 보였다.
이전 세대인 '큐원 3' 시리즈와 비교하면 텍스트 이해 능력과 멀티모달 처리 역량이 크게 향상됐다. 동시에 더 큰 규모의 '큐원 3-맥스'와는 성능 격차를 좁히면서도 비용 부담을 낮췄다는 설명이다. 모델 규모 확대 경쟁에서 벗어나 효율 중심 전략으로 전환했다는 해석이 나온다.
큐원 3.5-397B-A17B는 오픈소스로 제공된다. 텍스트뿐 아니라 이미지와 영상까지 입력받아 이해하고, 이를 기반으로 텍스트를 생성할 수 있다. 언어 이해와 추론, 코드 생성, 에이전트 워크플로 수행, 이미지·영상 이해, 그래픽 사용자 인터페이스(GUI) 상호작용 등 다양한 업무 환경에서 활용 가능하다고 회사는 밝혔다.
알리바바는 “에이전트 AI 시대를 위해 설계된 모델”이라며 “동일한 컴퓨팅 자원으로 더 많은 작업을 처리할 수 있도록 했다”고 강조했다.
중국 AI 시장에서는 바이트댄스, 바이두, 딥시크 등이 경쟁 모델을 잇달아 내놓으며 경쟁이 치열해지고 있다. 알리바바는 공개한 벤치마크에서 오픈AI의 'GPT-5.2', 앤트로픽의 '클로드 오퍼스 4.5', 구글의 '제미나이 3 프로' 등 미국 주요 모델과의 비교 결과도 제시했다.

박진형 기자 jin@etnews.com